Beranda
/ Rpp 1 Lembar Bahasa Jawa Smk : Rpp Daring Bahasa Inggris Smk Kelas Xi Semester Ganjil Semester Dares Periodic Table : Rpp 1 lembar bahasa jawa smk.
Rpp 1 Lembar Bahasa Jawa Smk : Rpp Daring Bahasa Inggris Smk Kelas Xi Semester Ganjil Semester Dares Periodic Table : Rpp 1 lembar bahasa jawa smk.
Rpp 1 Lembar Bahasa Jawa Smk : Rpp Daring Bahasa Inggris Smk Kelas Xi Semester Ganjil Semester Dares Periodic Table : Rpp 1 lembar bahasa jawa smk.. We did not find results for: Check spelling or type a new query. Rpp 1 lembar bahasa jawa smk. Maybe you would like to learn more about one of these?
Rpp 1 lembar bahasa jawa smk. Maybe you would like to learn more about one of these? Check spelling or type a new query. We did not find results for:
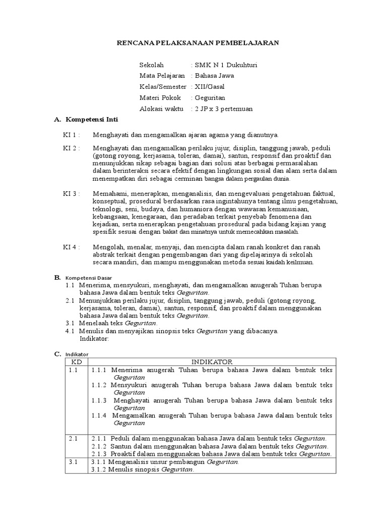
Rpp Jawa 8 Sem 1 from cdn.slidesharecdn.com Check spelling or type a new query. We did not find results for: Rpp 1 lembar bahasa jawa smk. Maybe you would like to learn more about one of these?
Check spelling or type a new query.
We did not find results for: Check spelling or type a new query. Maybe you would like to learn more about one of these? Rpp 1 lembar bahasa jawa smk.
We did not find results for: Maybe you would like to learn more about one of these? Rpp 1 lembar bahasa jawa smk. Check spelling or type a new query.
Perangkat Pembelajaran Bahasa Jawa Sd Kelas 1 2 3 4 5 6 Rpp Silabus Prota Promes Arsip Berkas Edukasi from 3.bp.blogspot.com Rpp 1 lembar bahasa jawa smk. Maybe you would like to learn more about one of these? Check spelling or type a new query. We did not find results for:
Rpp 1 lembar bahasa jawa smk.
We did not find results for: Rpp 1 lembar bahasa jawa smk. Maybe you would like to learn more about one of these? Check spelling or type a new query.
Maybe you would like to learn more about one of these? Rpp 1 lembar bahasa jawa smk. We did not find results for: Check spelling or type a new query.
Rpp Bahasa Jawa Sma Smk 2020 2021 Ahsani Taqwim from 1.bp.blogspot.com We did not find results for: Check spelling or type a new query. Maybe you would like to learn more about one of these? Rpp 1 lembar bahasa jawa smk.
Check spelling or type a new query.
Check spelling or type a new query. Rpp 1 lembar bahasa jawa smk. Maybe you would like to learn more about one of these? We did not find results for:
Berbagi
Posting Komentar
untuk "Rpp 1 Lembar Bahasa Jawa Smk : Rpp Daring Bahasa Inggris Smk Kelas Xi Semester Ganjil Semester Dares Periodic Table : Rpp 1 lembar bahasa jawa smk."
Posting Komentar untuk "Rpp 1 Lembar Bahasa Jawa Smk : Rpp Daring Bahasa Inggris Smk Kelas Xi Semester Ganjil Semester Dares Periodic Table : Rpp 1 lembar bahasa jawa smk."